• Предмет: Геометрия
  • Автор: 45kim78
  • Вопрос задан 8 лет назад

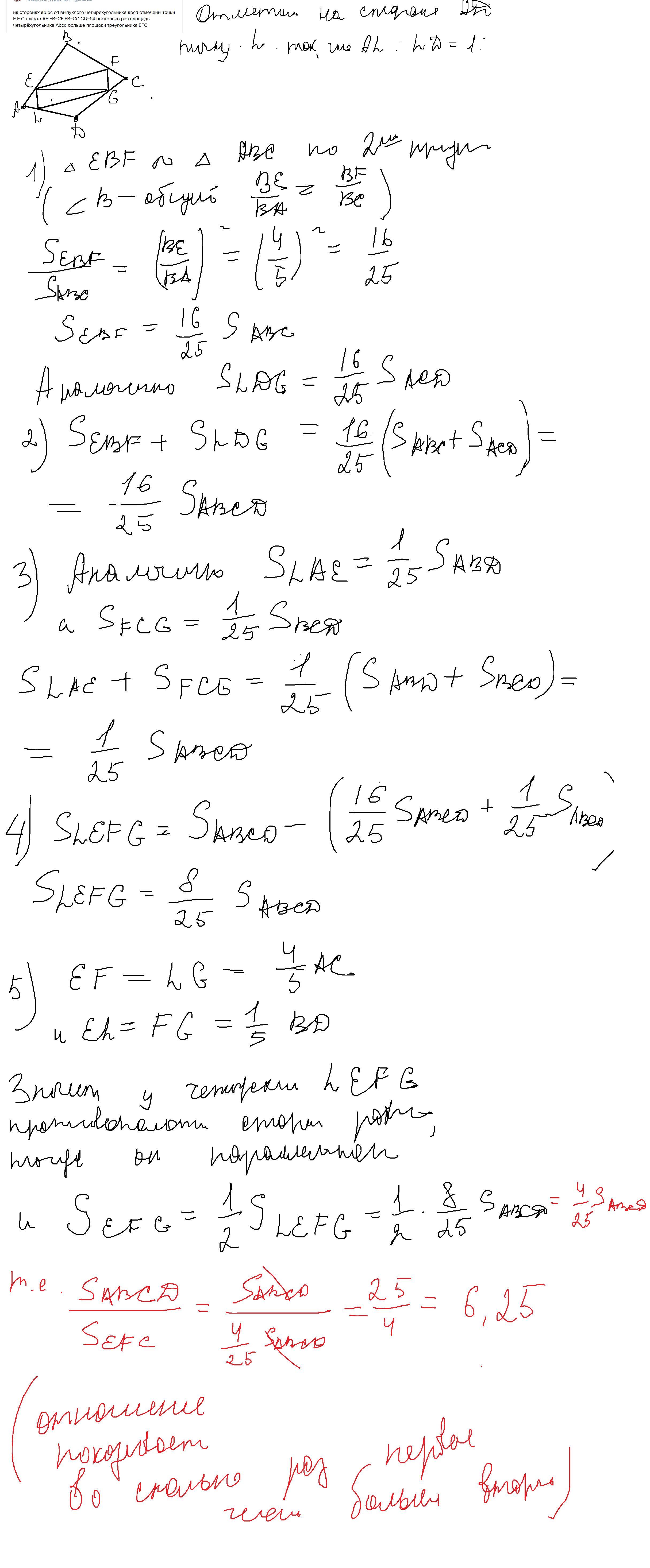
На сторонах AB, BC, CD выпуклого четырёхугольника ABCD отмечены точки E, F, G так, что АЕ : ЕВ = CF : FB = CG : GD = 4 : 1. Во сколько раз площадь четырёхугольника ABCD больше площади треугольника EFG?​

Ответы

Ответ дал: vikll
24

Ответ:

Объяснение:

. Во сколько раз площадь четырёхугольника ABCD больше площади треугольника EFG

Приложения:
Вас заинтересует