• Предмет: Алгебра
  • Автор: halykovnurbol93
  • Вопрос задан 8 лет назад

Решите пример.. Алгебра 8 класс
........​

Приложения:

Ответы

Ответ дал: ZhakFresk0
0

Ответ:

_____ __ __

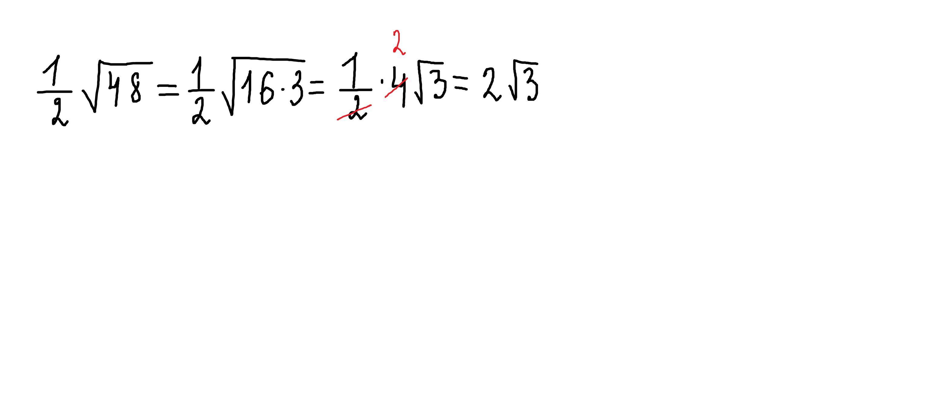
0.5√4^2*3=0.5*4√3 =2√3

Ответ дал: parus77
1

Ответ:

2√3

Объяснение:

Приложения:
Вас заинтересует