• Предмет: Алгебра
  • Автор: Александра1004
  • Вопрос задан 11 лет назад

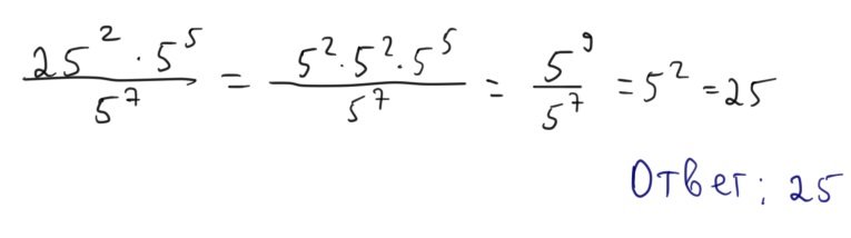
25 во 2 степени*5в 5 степени/
5 в 7 степени

Ответы

Ответ дал: nikolac
0
Решение на картинке.
Приложения:
Ответ дал: Александра1004
0
хотя подожди 25*25 во второй же степени
Вас заинтересует