Ответы
Ответ дал:
0
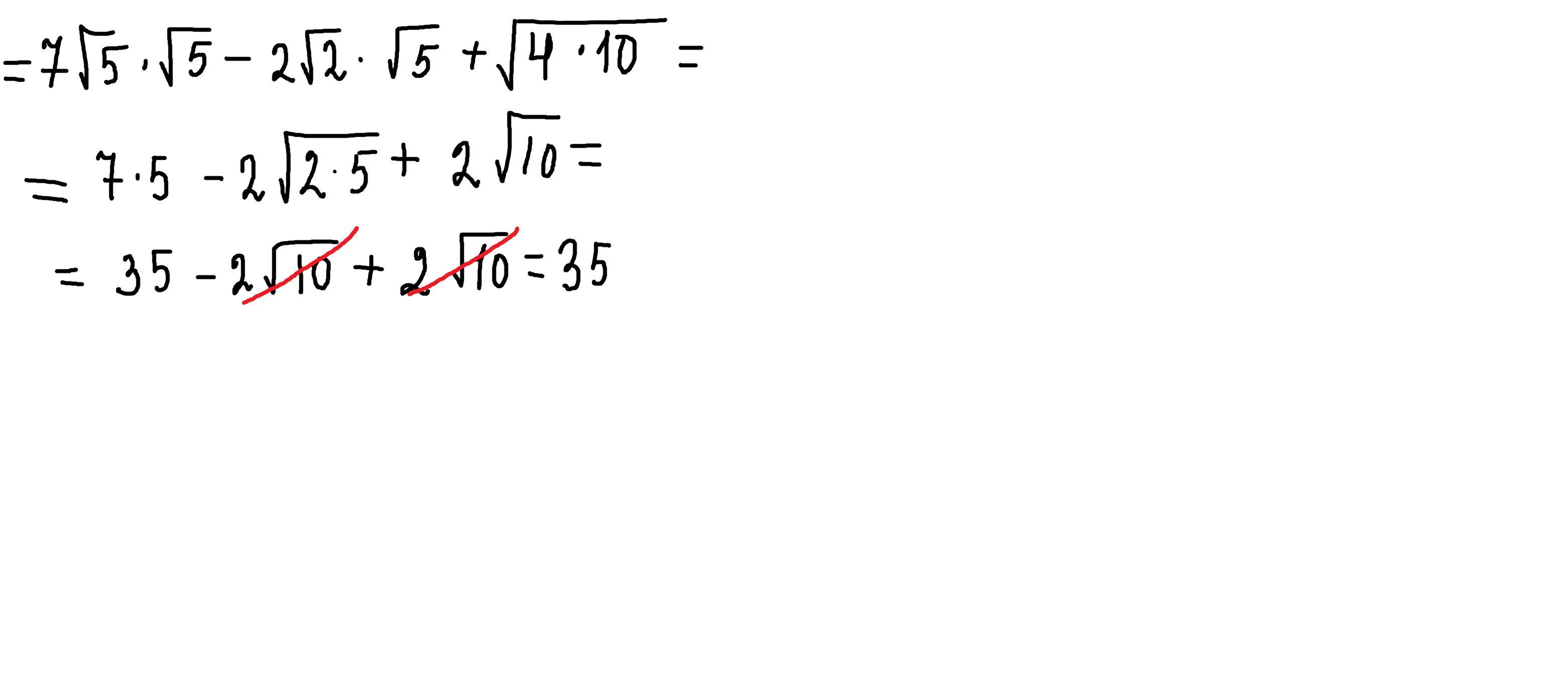
Ответ:
35
Пошаговое объяснение:
решение внизу
Приложения:

Аноним:
спс выручел
Вас заинтересует
2 года назад
2 года назад
3 года назад
3 года назад
8 лет назад
8 лет назад
9 лет назад