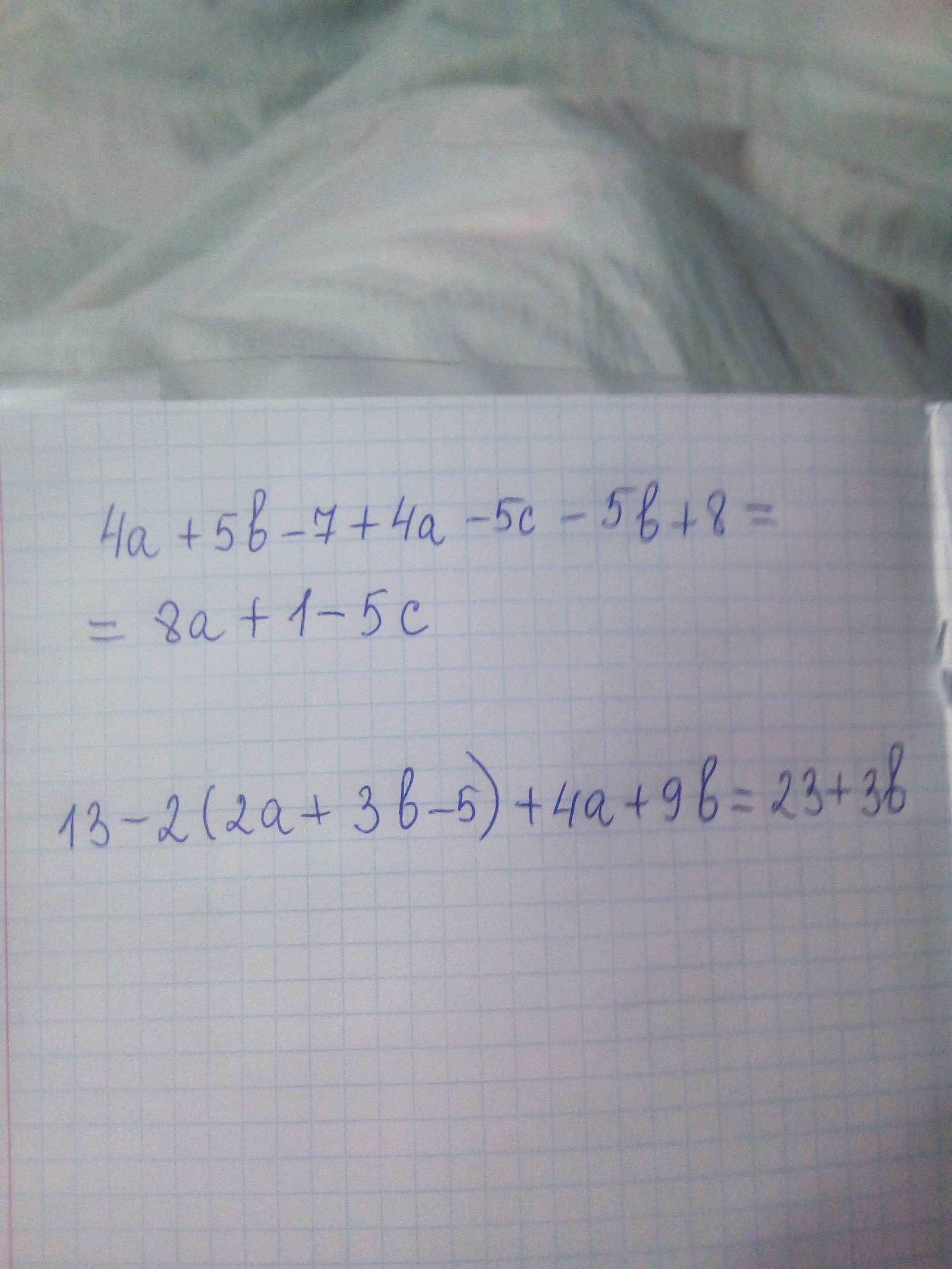
5) 4a + 5b - 7 + 4a - 5c - 5b + 8 = ?
7) 13 - 2*(2a + 3b - 5) + 4a + 9b = ? пж помогите много баллов
Ответы
Ответ дал:
1
Ответ:
5) -5b и 5b сокращаются
4а+4а= 8а
-7+8=1
8а+1-5с
7) раскрываем скобки 2(2а+3b-5)= 4а+6b-10
13-4а+6b-10+4a+9b= 23+3b
Ответ дал:
0
Відповідь:
Покрокове пояснення:
Приложения:

Вас заинтересует
2 года назад
2 года назад
3 года назад
3 года назад
8 лет назад
9 лет назад