Ответы
Ответ дал:
1
Ответ:
2)1/2а^2bxy
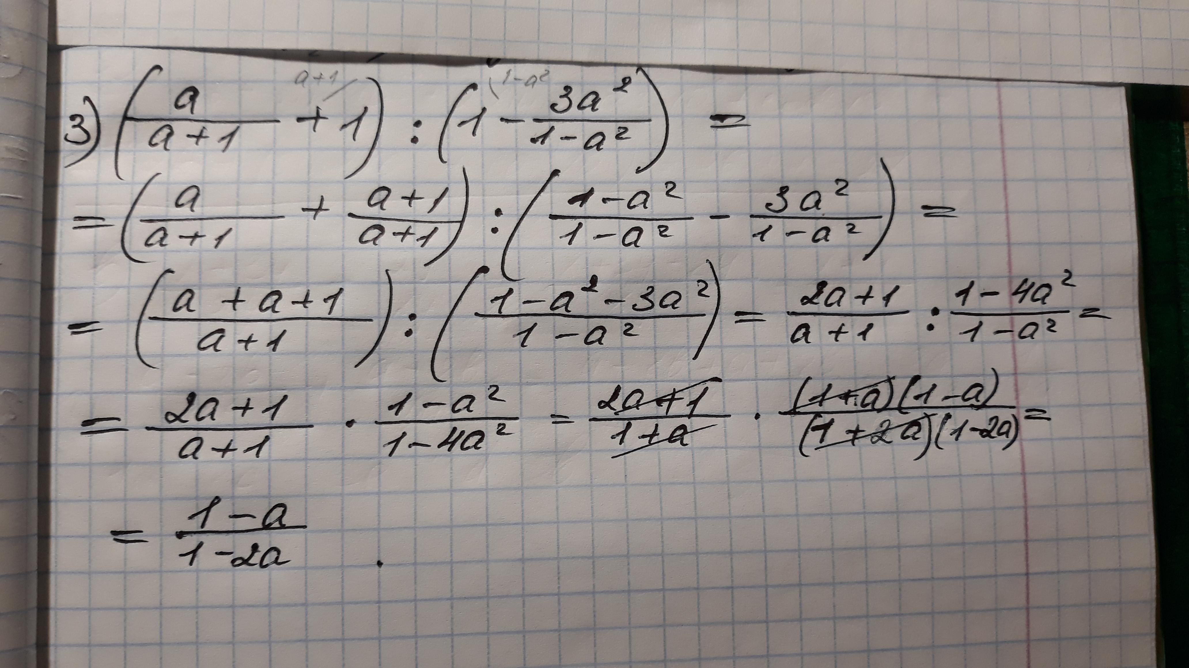
3)1-a/1-2a
Объяснение:
2)9xy/2a^4b^3*(ab/3xy)^2=
9xy/2a^4b^3*a^2b^2/9x^2y^2=
1/2a^2b*1/xy=
1/2a^2bxy
3)a+a+1/a+1:1-a^2-3a^2/1-a^2=
2a+1/a+1:1-4a^2/1-a^2=
2a+1/a+1×1-a^2/1-4a^2=
2a+1/a+1×(1-a)×(1+a)/(1-2a)×(1+2a)=
1-a/1-2a
asdmolen35:
1 пример не понял почерк
Ответ дал:
1
Ответ: тут
В третьем примере двоеточие? Верно? Там просто плохо видно.
Объяснение:
Приложения:


Вас заинтересует
2 года назад
2 года назад
3 года назад
8 лет назад
8 лет назад