• Предмет: Алгебра
  • Автор: Аноним
  • Вопрос задан 8 лет назад

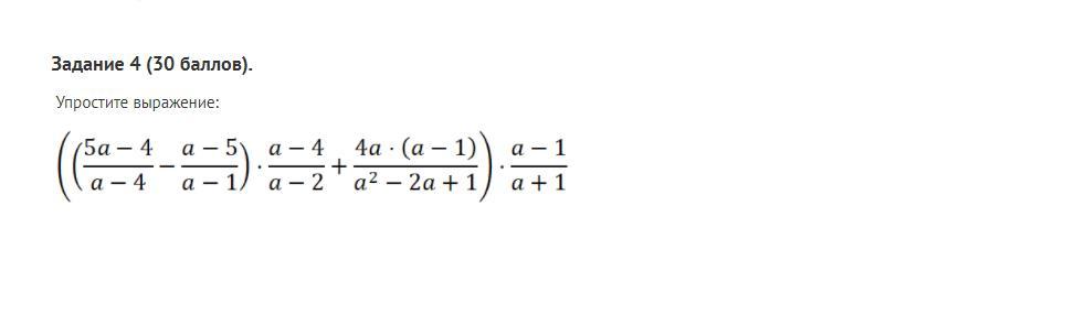
ПОЖАЛУЙСТА ПОМОГИТЕ! ЭТО ОЧЕНЬ СРОЧНО!!! Даю 80 баллов!!!

Приложения:

Ответы

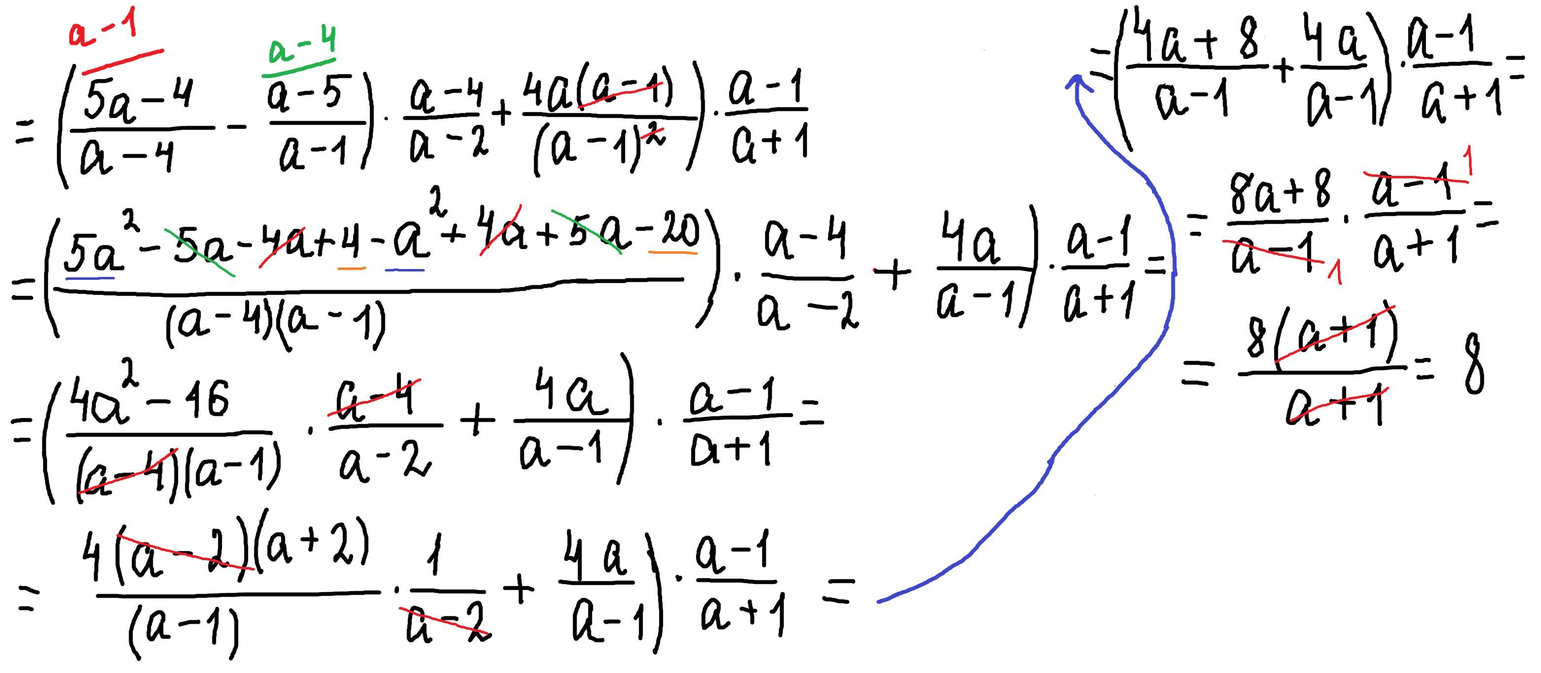
Ответ дал: parus77
0

Ответ:

8

Объяснение:

решение внизу

Приложения:
Вас заинтересует