• Предмет: Математика
  • Автор: alin1208vor
  • Вопрос задан 8 лет назад

РЕБЯТА СРОЧНО ПОМОГИТЕ ​

Приложения:

Ответы

Ответ дал: hipisangudbaev
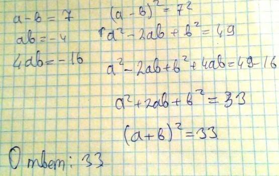
1

Вот Ответ Я надеюсь что он правильный)

Еще там В но это Б пиши Б  не он неправильный (( извини

Приложения:

hipisangudbaev: лучше не пиши он неправильный)
hipisangudbaev: извини что написал
Вас заинтересует