Помогите, пожалуйста!
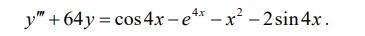
Указать структуру общего решения дифференциального уравнения, не
находя коэффициентов его частных решений
Приложения:

Ответы
Ответ дал:
1
Ответ:
Пошаговое объяснение:
Приложения:



Вас заинтересует
2 года назад
2 года назад
3 года назад
3 года назад
8 лет назад
8 лет назад