• Предмет: Математика
  • Автор: Geddemin31
  • Вопрос задан 8 лет назад

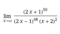
Ребят, хелп. Нужно вычислить предел. Ответ я знаю, мне нужно решение

Приложения:

Ответы

Ответ дал: iosiffinikov
1

Ответ:

4

Пошаговое объяснение:

Поделим и числитель и знаменатель на (2х+1)^50.

В чилителе будет 1.

Знаменатель

((2х-1)/(2х+1))^48)*((x+2)|(2x+1))^2

Предел выражения в первой скобке равен 1.

Действительно ((2х-1)/(2х+1)=(1-(1/2х))/(1+1/2х)) передел каждого выражения в скобках, очевидно, равен 1.

Возведение в конечную степень не меняет этот предел.

Предел выражения во второй скобке равен 1/2

Действительно (x+2)|(2x+1)=(1+2/х)/(2+1/х) и предел этого выражения равен 1/2.

Воводя в квадрат, получим предел знаменателя равен  1/4.

Значит предел всего выражения равен 4.


Geddemin31: спасибо большое, очень помог.
iosiffinikov: Ещё чуть другой вариант ответа написал. Посмотри какой больше понравится.
Вас заинтересует