• Предмет: Геометрия
  • Автор: artrybol
  • Вопрос задан 8 лет назад

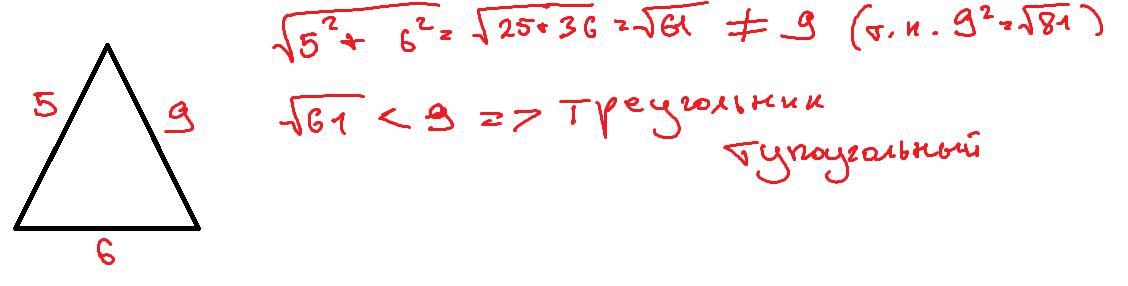
Визначте вид трикутника, сторони якого дорівнюють 5см, 6см, 9см.

Ответы

Ответ дал: skala
1

Ответ:

Тупоугольный

Объяснение:

Если выполняется теорема Пифагора:  

с²=a²+b² , где с - наибольшая сторона, а и b две других, – треугольник прямоугольный.  

Если квадрат наибольшей стороны меньше суммы квадратов двух других сторон:

с² < a²+b² треугольник остроугольный.  

Если квадрат наибольшей стороны больше суммы квадратов двух других сторон:

с² > a²+b² – треугольник тупоугольный.

Приложения:
Ответ дал: Аноним
0

Відповідь: тупокутний

Пояснення: фото

Приложения:
Вас заинтересует