• Предмет: Математика
  • Автор: Geddemin31
  • Вопрос задан 8 лет назад

Помогите, пожалуйста. Нужно вычислить предел. Ответ я знаю, мне нужно решение

Приложения:

iosiffinikov: Только что, вроде, писал. Что не так ?

Ответы

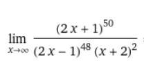
Ответ дал: iosiffinikov
1

Ответ:

4

Пошаговое объяснение:

Напишу еще так:

Выражение можно представить в виде произведения А*В

А=(2х+1)/(2х-1))^48  (2x+1)/(2x-1)=1+2/(x+1)  при х стремящемся к бесконечности предел этого выражения равен 1.  Возведение в степень 48 значение предела не меняет.

В=  ((2x+1|(x+2))^2=(2-1|/x+1))^2=4 -4/(x+1)+1/(x+1)^2 прих  стремящемся к бесконечности предел равен 4.

Перемножая 1*4 получаем ответ 4.


Geddemin31: Тоже отличный вариант. Огромное спасибо!
Вас заинтересует