• Предмет: Алгебра
  • Автор: saidkamolazimbaev
  • Вопрос задан 8 лет назад

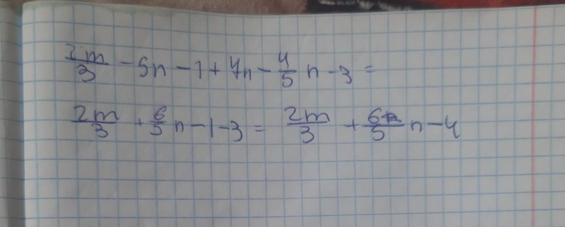
3) 2m/3-5n - 1 + 7n-4/5n-3 ​

Ответы

Ответ дал: cychvj
3

Ответ:

ответ во вложениии ..

Объяснение:

можно лучшиц ответ

Приложения:

saidkamolazimbaev: спасибо
saidkamolazimbaev: что ответили
Вас заинтересует