Ответы
Ответ дал:
1
Ответ:
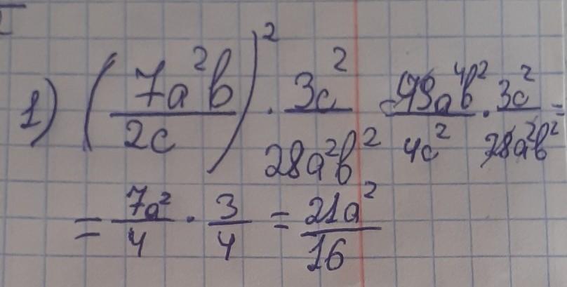
ответ 21a^2/16
вычисление ответ 21
Ответ дал:
1
.........................
Приложения:

Вас заинтересует
2 года назад
2 года назад
3 года назад
3 года назад
8 лет назад
8 лет назад
9 лет назад