• Предмет: Алгебра
  • Автор: Аноним
  • Вопрос задан 8 лет назад

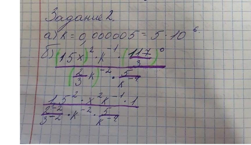
Задание 2.

Задано значение k=0, 000005 и алгебраическое выражение:

alg ek 8 kl 2.png

а) запишите число k в стандартном виде (5 баллов);

б) упростите алгебраическое выражение (18 баллов);

в) вычислите значение выражения при заданном значении k (6 баллов).

Ответы

Ответ дал: kkiyemov
0

Ответ:

я сделал так но ещё не проверили

Приложения:

ivgleb514: а там В) еще же было, с ним что?
radomirkarpan73: Проверили?
Вас заинтересует