• Предмет: Алгебра
  • Автор: Аноним
  • Вопрос задан 10 лет назад

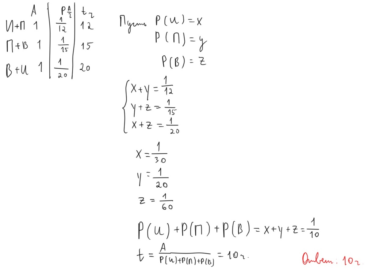
Игорь и Паша красят забор за 12 часов.Паша и Володя за 15 часов,а Володя и Игорь за 20. За какое время они покрасят забор работая втроём?

Ответы

Ответ дал: nikolac
0
Решение на картинке.
Приложения:
Ответ дал: nikolac
0
Решение системы расписывать я не стал, но только если захотите..
Вас заинтересует