Ответы
Ответ дал:
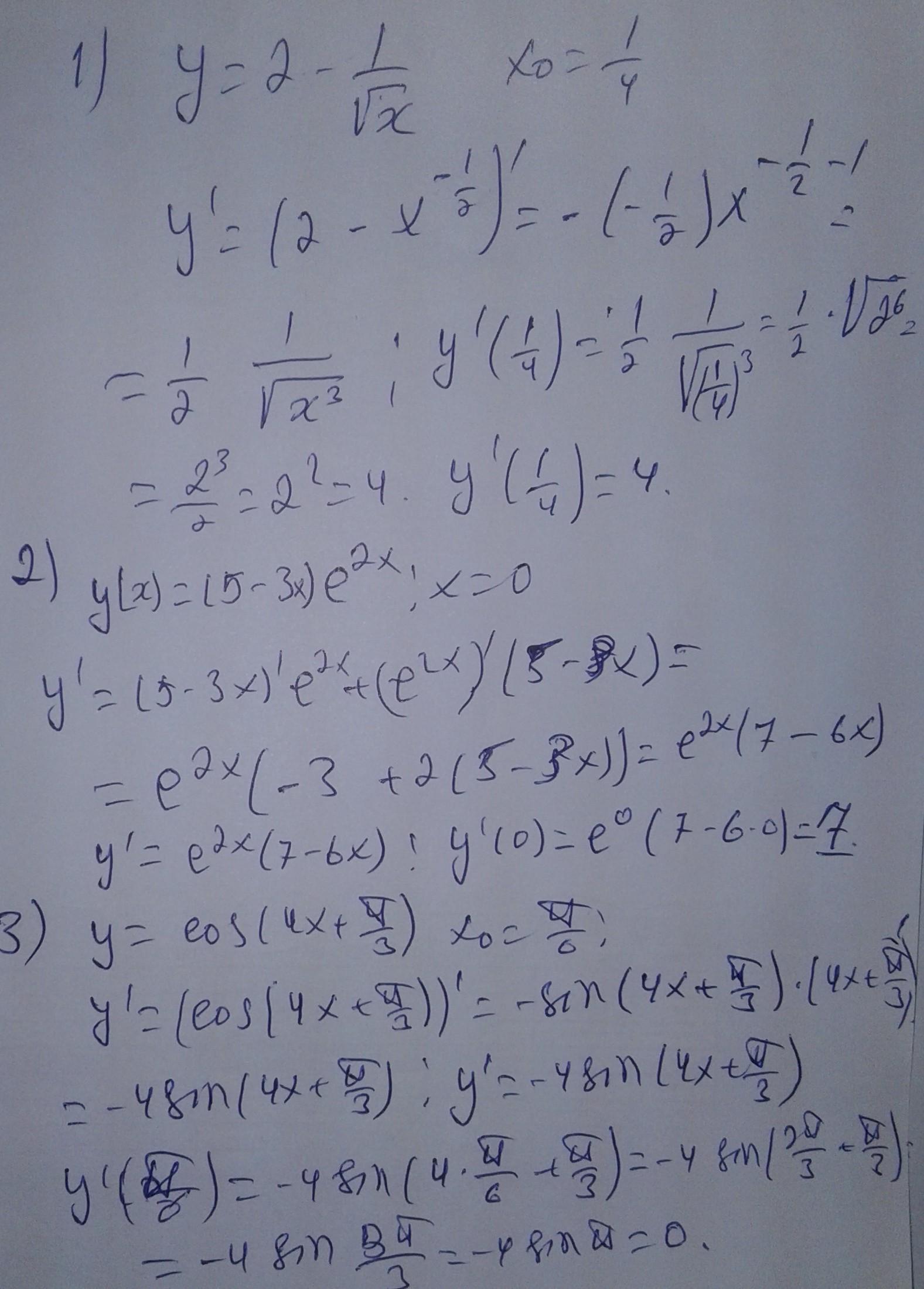
0
Ответ:Решено
Объяснение:
Приложения:

yulyaivanchenko65:
Доброго времени суток,не могли бы вы помочь с Алгеброй если вам не трудно конечно,https://znanija.com/task/45946380,заранее благодарю за помощь.
Вас заинтересует
2 года назад
2 года назад
3 года назад
3 года назад
8 лет назад