• Предмет: Алгебра
  • Автор: mkanaev777
  • Вопрос задан 8 лет назад

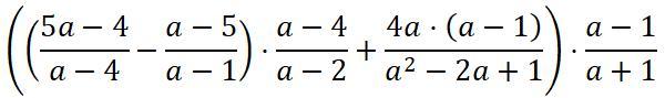
Упростите выражение:

Приложения:

Ответы

Ответ дал: asdmolen35
1

Ответ:

8

Объяснение:

((a-1)*(5a-4)-(a-4)*(a-5)/(a-4)*(a-1) * a-4/a-2 + 4a*(a-1)/(a-1)^2) * a-1/a+1=

(5a^2-4a-5a+4-(a^2-5a-4a+20)/a-1 * 1/a-2 + 4a/a-1) * a-1/a+1=

(5a^2-4a-5a+4-(a^2-9a+20)/a-1 * 1/a-2 + 4a/a-1)* a-1/a+1=

(5a^2-4a-5a+4-a^2+9a-20/a-1 * 1/a-2 + 4a/a-1) * a-1/a+1=

(4a^2+0-16/a-1 * 1/a-2 + 4a/a-1) * a-1/a+1=

(4(a^2-4)/a-1 * 1/a-2 + 4a/a-1) * a-1/a+1=

(4(a-2)*(a+2)/a-1 * 1/a-2 + 4a/a-1) * a-1/a+1=

(4(a+2)/a-1 + 4a/a-1) * a-1/a+1=

(4a+8/a-1 + 4a/a-1) * a-1/a+1=

4a+8+4a/a-1 * a-1/a+1=

(8a+8) * 1/a+1=

8(a+1) * 1/a+1=

8


asdmolen35: пробелы между некоторыми знаками это конец дроби
mkanaev777: Спасибо!!
asdmolen35: Не за что)
Вас заинтересует