• Предмет: Алгебра
  • Автор: darababkova5
  • Вопрос задан 8 лет назад

помогите плиз, 3 номер​

Приложения:

Ответы

Ответ дал: parus77
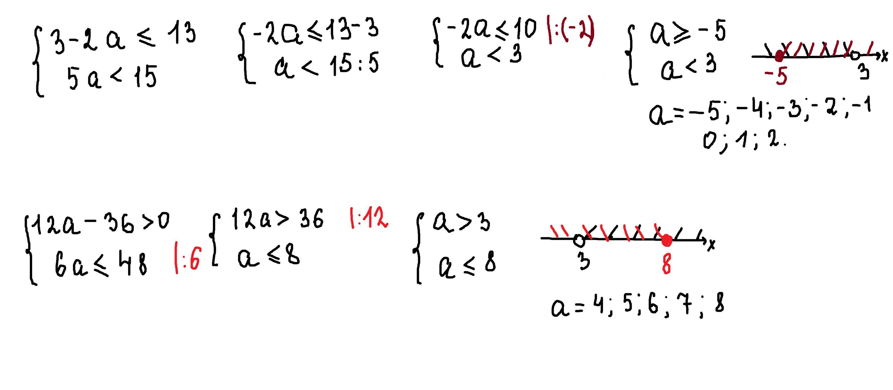
1

Ответ:

Объяснение:

в1 сист.   8 решений

во 2 сист.   5 решений

Приложения:
Вас заинтересует