• Предмет: Физика
  • Автор: skillpso
  • Вопрос задан 8 лет назад

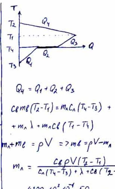
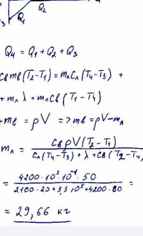
Ванну объёмом 100л необходимо заполнить водой ,имеющей температуру 30с (градусов),используя воду 80с и лёд с температурой -20с .Найти массу льда ,которого надо положить в ванну

Ответы

Ответ дал: kosstyasemchenko
1

Объяснение:

вот решение. не обращай на эти символы внимание опопопоопптоптп

Приложения:
Вас заинтересует