• Предмет: Алгебра
  • Автор: AngelOlgaLuz
  • Вопрос задан 7 лет назад

Срочно! Дам 70 баллов

Приложения:

Ответы

Ответ дал: larisaserova53
1

Ответ:

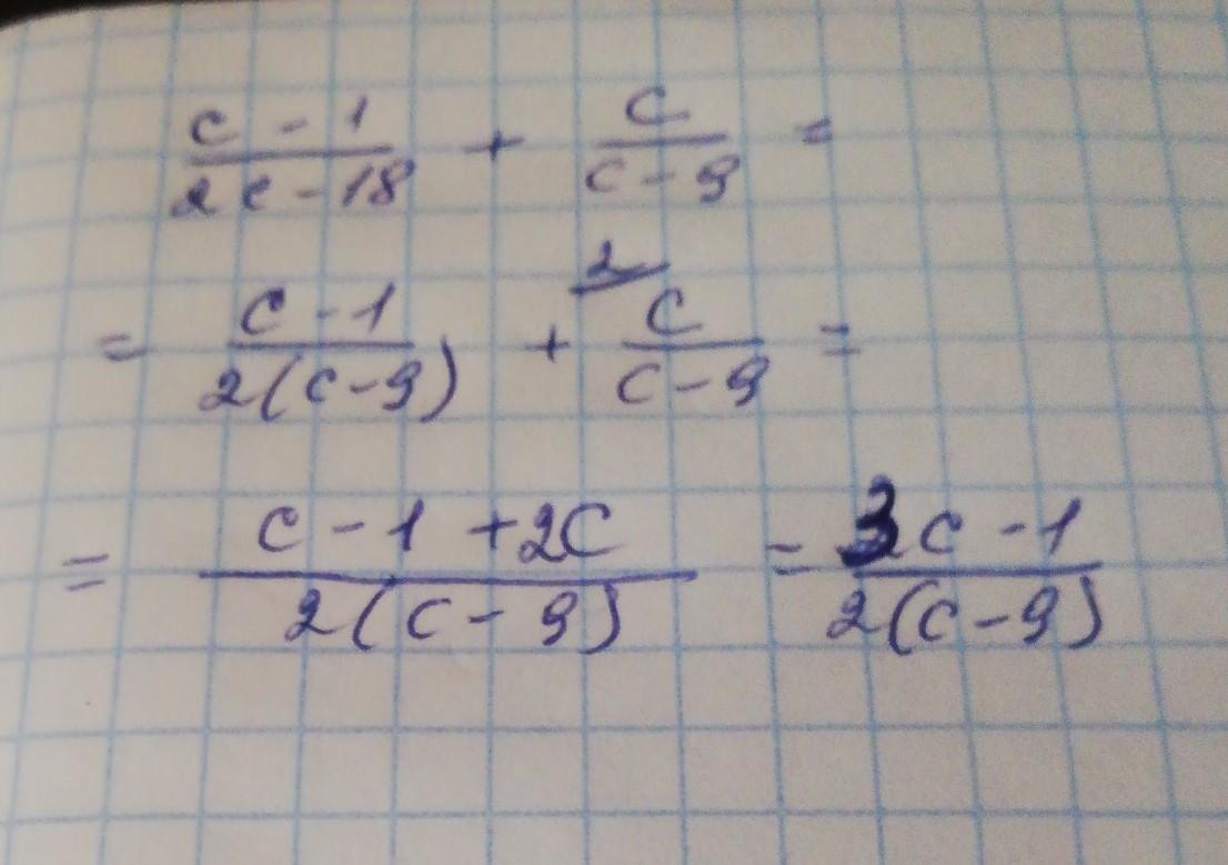
Смотри решение на фото ниже

Приложения:
Ответ дал: keeper5
1

Ответ:

Объяснение:

\frac{1*(c-1)+2*c}{2(c-9)} = \frac{c-1+2c}{2(c-9)} =\frac{-1+3c}{2(c-9)}

Вас заинтересует