• Предмет: Математика
  • Автор: zenakazakov11
  • Вопрос задан 7 лет назад

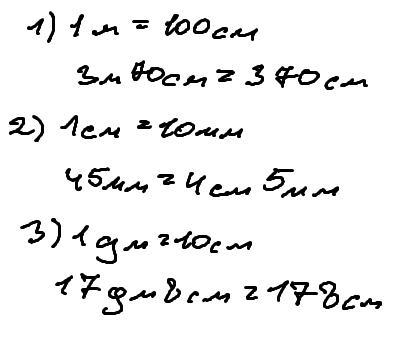
3 м 70 см в см
45мм в см и мм
17дм 8см в см​

Ответы

Ответ дал: skala
0

Ответ:

Фото

Пошаговое объяснение:

Приложения:
Ответ дал: nazira182
0
3м 70см=370см
45мм=4см5мм
17дм 8см=178см
Вас заинтересует