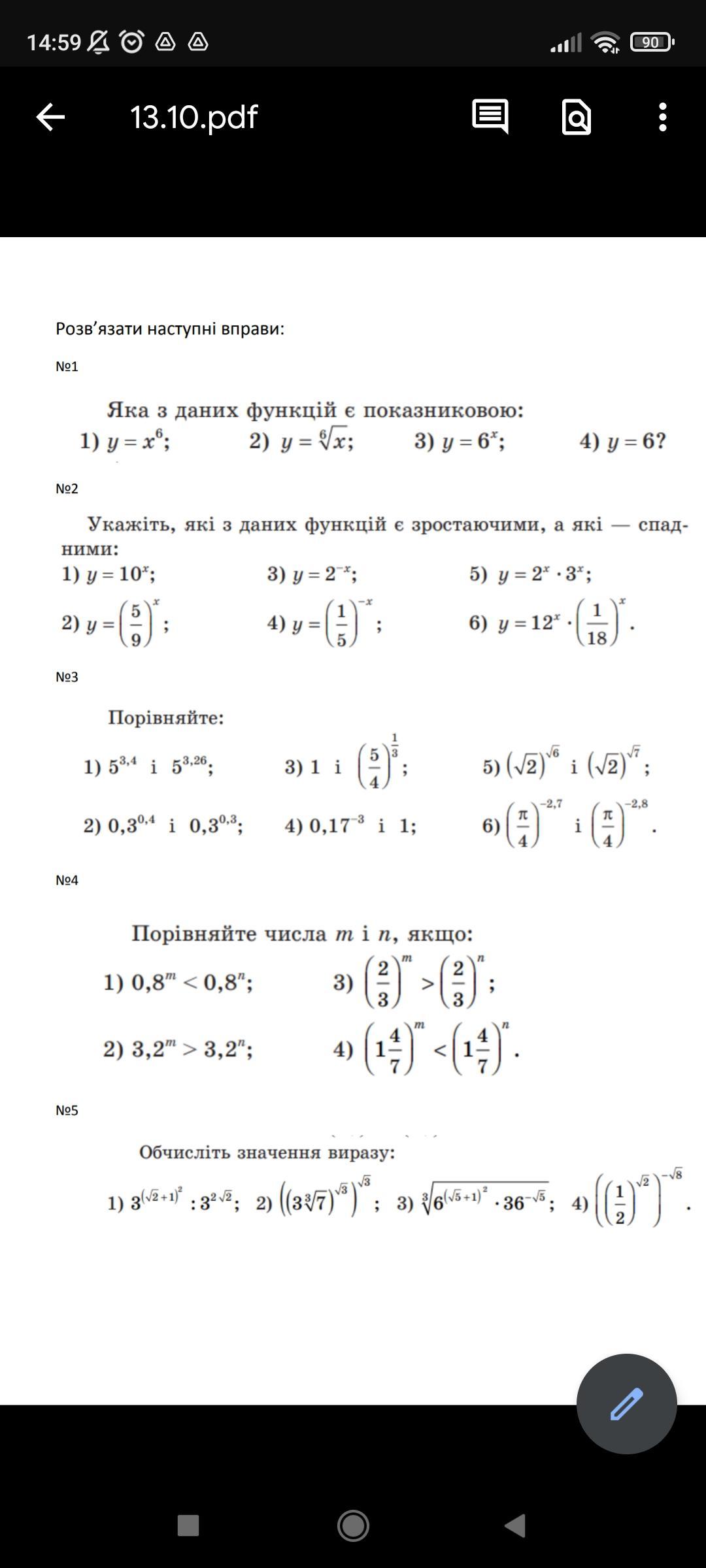
Даю 100 нужно решить всё кроме первого задания
Перевод на русский:
2-ое задание)Укажи какие из данных функций взростает а какая убывает
3)сравните
4)сравните числа m и n ecли
5)вычислите значение примера
Приложения:

Ответы
Ответ дал:
2
Ответ:
№2
1) возрастающая
2) убывающая
3) убывающая
4) возрастающая
5) возрастающая
6) убывающая
№3
1) >
2)
3) 1 <
4)
5)
6)
№4
1) m > nrf
2) m > n
3) m < n
4) m < n
№5
1)
2)
3)
4)
Вас заинтересует
2 года назад
3 года назад
3 года назад
8 лет назад
8 лет назад