Ответы
Ответ дал:
0
Решение:
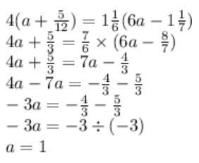
Извини что в ужасном качестве, просто решал на компе, сделал скрин и обрезал!
Приложения:

Вас заинтересует
2 года назад
2 года назад
3 года назад
8 лет назад
8 лет назад
9 лет назад