Ответы
Ответ дал:
1
Ответ:
Объяснение:
3. знаменатель не должен обращаться в 0.На 0 делить нельзя.
а)все числа кроме а=-1\5
б) все числа кроме х= 2
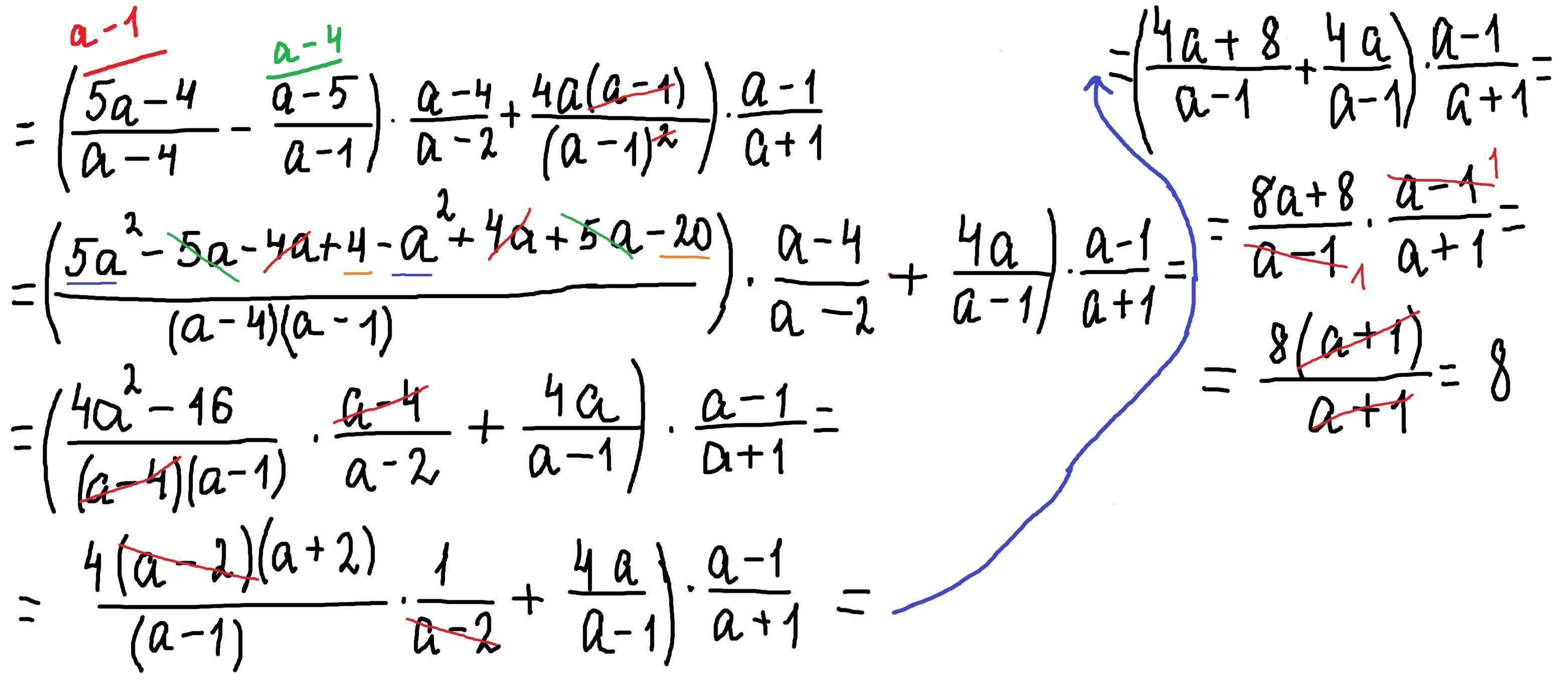
4.вчера кому то решала.решение внизу.
Приложения:


sasasabalina38:
а там же надо упростить выражение а не решить его
Вас заинтересует
2 года назад
2 года назад
3 года назад
3 года назад
8 лет назад
8 лет назад
9 лет назад