• Предмет: Геометрия
  • Автор: artemicwest
  • Вопрос задан 8 лет назад

Дано уравнение окружности х2 – 4х + y2 = 12. Укажите координаты ее центра и радиус.​

Ответы

Ответ дал: jsjsjznznznz27
0

Ответ:

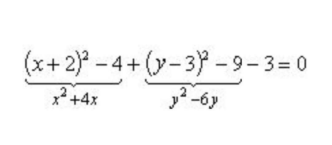
Заданное уравнение преобразуем к виду

(x - a)2 + (y - b)2 = r2. (1)

Выпишем члены, содержащие только x, и члены, содержащие только y. Легко проверить, что

x2 + 4x = (x + 2)2 - 4,

y2 - 6y = (y - 3)2 - 9.

Левая часть уравнения запишется теперь так:

или отсюда (картинка сверху)

(x + 2)2 + (y - 3)2 = 16. (2)

Сравнивая уравнение (2) с (1), заключаем, что уравнение определяет окружность, центр которой имеет координаты C(-2, 3), r2 = 16, а r = 4.

Приложения:
Вас заинтересует