• Предмет: Алгебра
  • Автор: serdzonishuk
  • Вопрос задан 8 лет назад

перетворить вираз в одночлен стандартного вигляду СРОЧНО!!!! даю 40балов​

Приложения:

Ответы

Ответ дал: NastasiiiA
1

Объяснение:

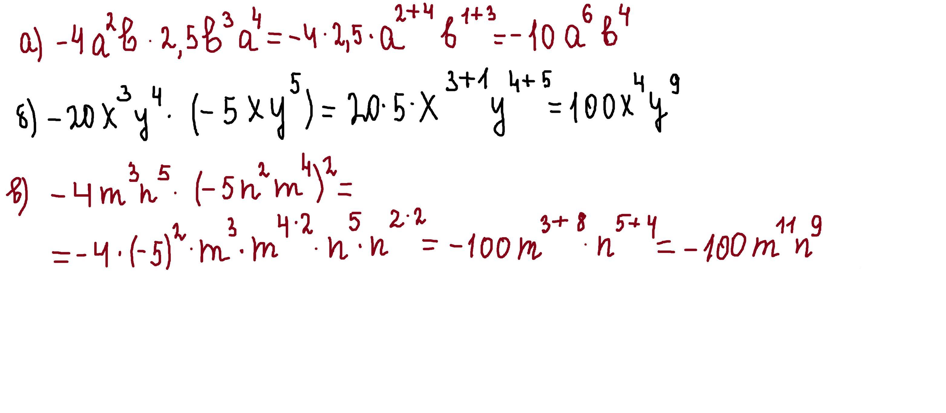
а)

 - 4 {a}^{2}b \times 2.5 {b}^{3}  {a}^{4}  =  - 4 \times 2.5 {a}^{2 + 4}  {b}^{1 + 3}  =  - 10 {a}^{6}  {b}^{4}

б)

 - 20 {x}^{3}  {y}^{4} ( - 5)x {y}^{5}  =  - 20 \times ( - 5) { x}^{1 + 3}  {y}^{4 + 5}  = 100 {x}^{4}  {y}^{9}

в)

 - 4 {m}^{3}  {n}^{5}  {( - 5 {n}^{2}  {m}^{4}) }^{2}  = - 4 {m}^{3}  {n}^{5} 25 {n}^{2 \times 2}  {m}^{4 \times 2}  =  - 4 \times 25 {n}^{5 + 4}  {m}^{3 + 8}  =  - 100 {n}^{9}  {m}^{11}

Ответ дал: parus77
1

Ответ:

Объяснение:

решение внизу

Приложения:
Вас заинтересует