• Предмет: Математика
  • Автор: VladuslavHarush
  • Вопрос задан 8 лет назад

помогите пожалуйста
сократить дробь​

Приложения:

Ответы

Ответ дал: 5hilya
1

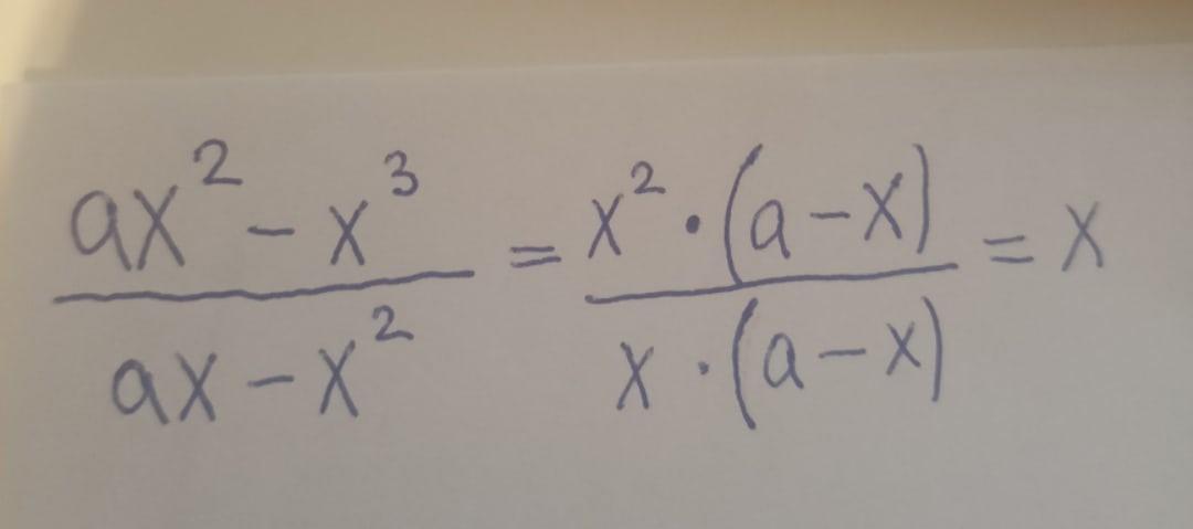
Ответ: г) x

Решение на фотографии.

Приложения:
Ответ дал: alesyaperova
2

Ответ:

решение на фото

Пошаговое объяснение:

ответ : г

Приложения:
Вас заинтересует