• Предмет: Алгебра
  • Автор: moddelina
  • Вопрос задан 8 лет назад

вычислите. помогите пожалуйста. 15 баллов


Приложения:

Ответы

Ответ дал: parus77
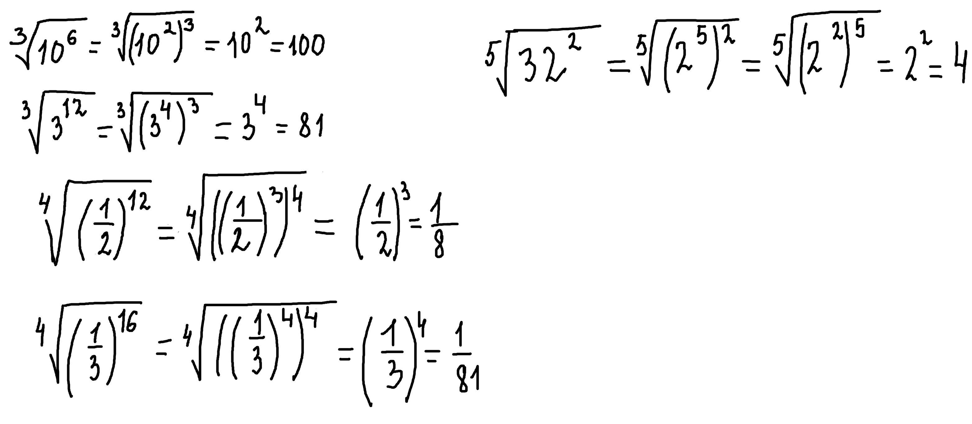
1

Ответ:

Объяснение:

решение внизу

применяем св-ва корней п-степени

Приложения:
Вас заинтересует