• Предмет: Математика
  • Автор: cummerings
  • Вопрос задан 8 лет назад

прошу! желательно с разъяснением, ибо это подготовка к практической, а я от слова совсем не понимаю как это решать…
задание: прологарифмировать. само задание в фотографии!!

Приложения:

Ответы

Ответ дал: ssuper99999
1

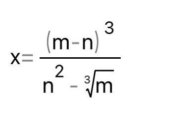
Дано:

X =   \frac{(m - n) {}^{3} }{ {n}^{2}  -  \sqrt[3]{m} }

Найти:

log_{x}X

Решение:

log_{x} \frac{(m - n) {}^{3} }{n {}^{2} -  \sqrt[3]{m}  }

Логарифм деления можно переписать как разность логарифмов по следующей теореме

log_{a} \frac{b}{c}  = log_{a}b - log_{a}c

log_{x} (m - n {)}^{3}  - log_{x}( {n}^{2}  -  \sqrt[3]{m} )

Решим 1 логарифм используя следующую формулу

вынесения степени за знак логарифма

log_{a}b {}^{n}  = n \times log_{a}b

3log_{x}(m - n) - log_{x}( {n}^{2}  -  \sqrt[3]{m} )

Поскольку формулы разности в самом логарифме нет, то это окончательный ответ, дальше упростит не получится

Вас заинтересует