• Предмет: Алгебра
  • Автор: Karina11222
  • Вопрос задан 8 лет назад

решите неравенства
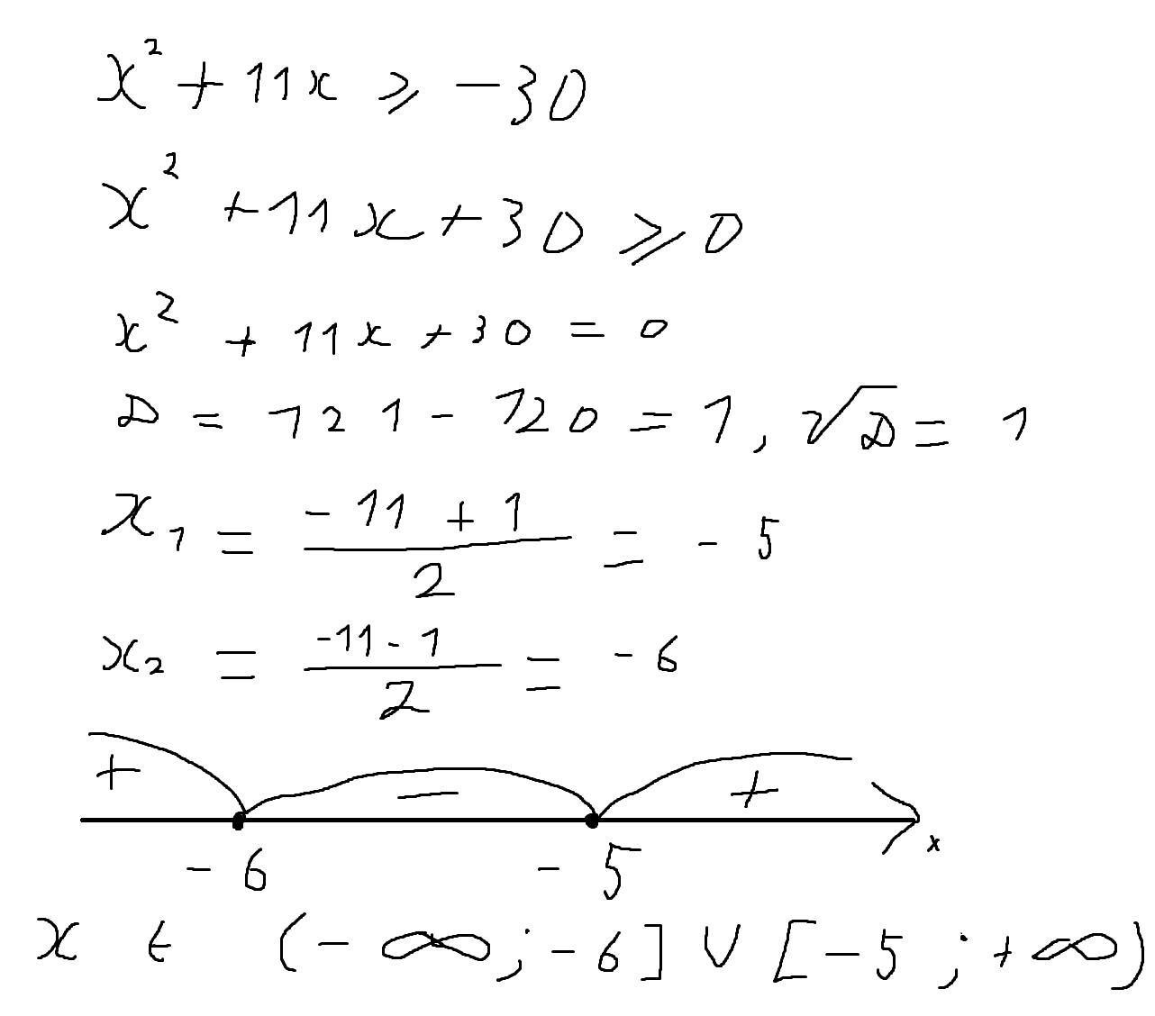
x^{2} +11x\geq -30
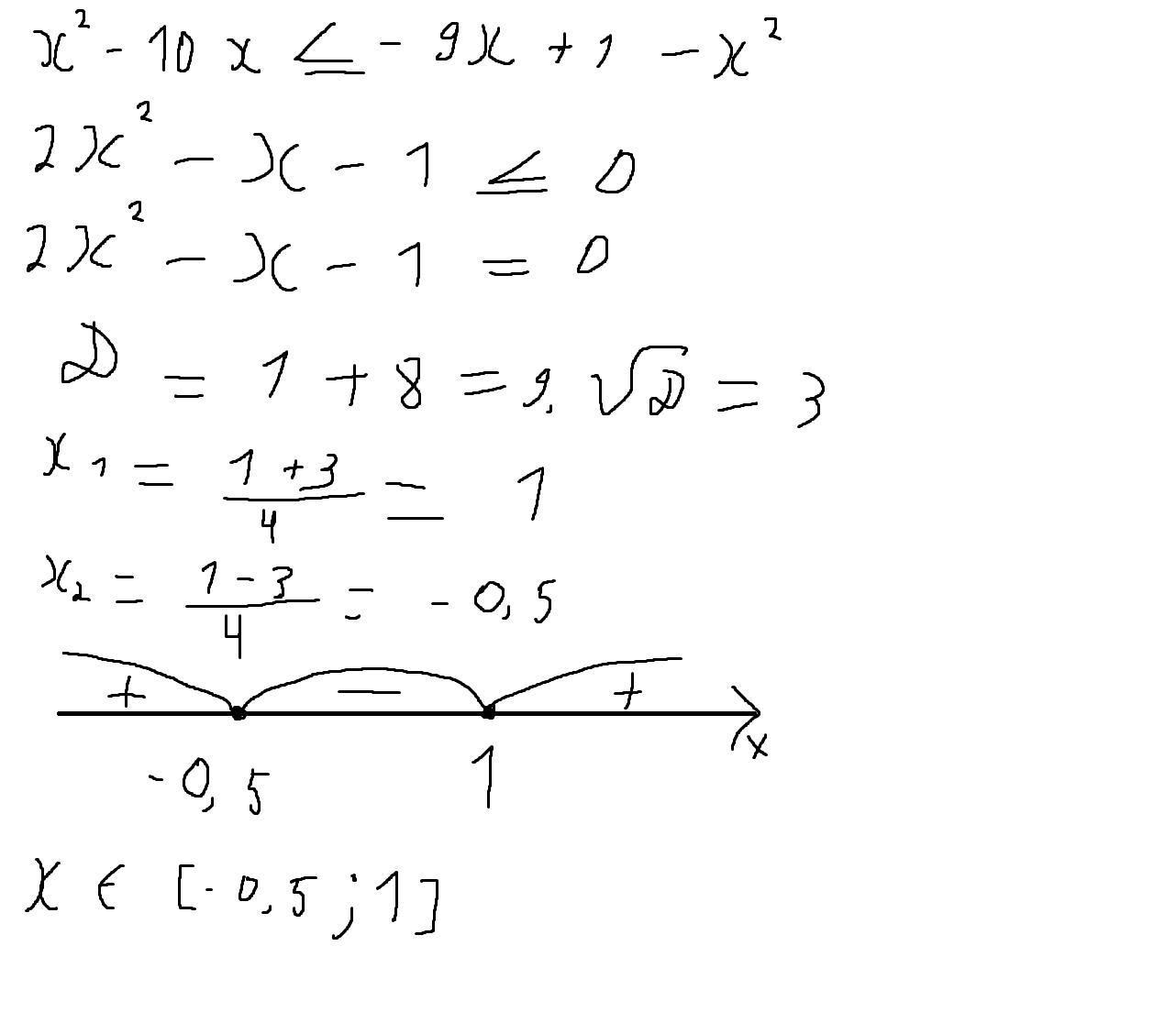
x^{2} -10x\leq -9x+1-x^{2}
помогите пожалуйста,дам 100 баллов

Ответы

Ответ дал: mkhans
4
Что то вроде этого) Надеюсь почерк понятен
Приложения:

Karina11222: спасибо огромное
mkhans: Не за что)
val0v1: По-моему, Вы во втором задании неправильно переписали условаия
val0v1: Условия*
mkhans: Блин, точно ‍♀️
mkhans: Извиняюсь
mkhans: Но там только в условии надо поставить х , в остальном вроде все правильно
Ответ дал: val0v1
3

Точки закрашенные должны быть на координатной прямой

Приложения:

val0v1: По-моему, допустил ошибку
Karina11222: спасибо огромное
mkhans: Где именно?
val0v1: А, нет, всё верно
Вас заинтересует