• Предмет: Алгебра
  • Автор: oljavova2000
  • Вопрос задан 8 лет назад

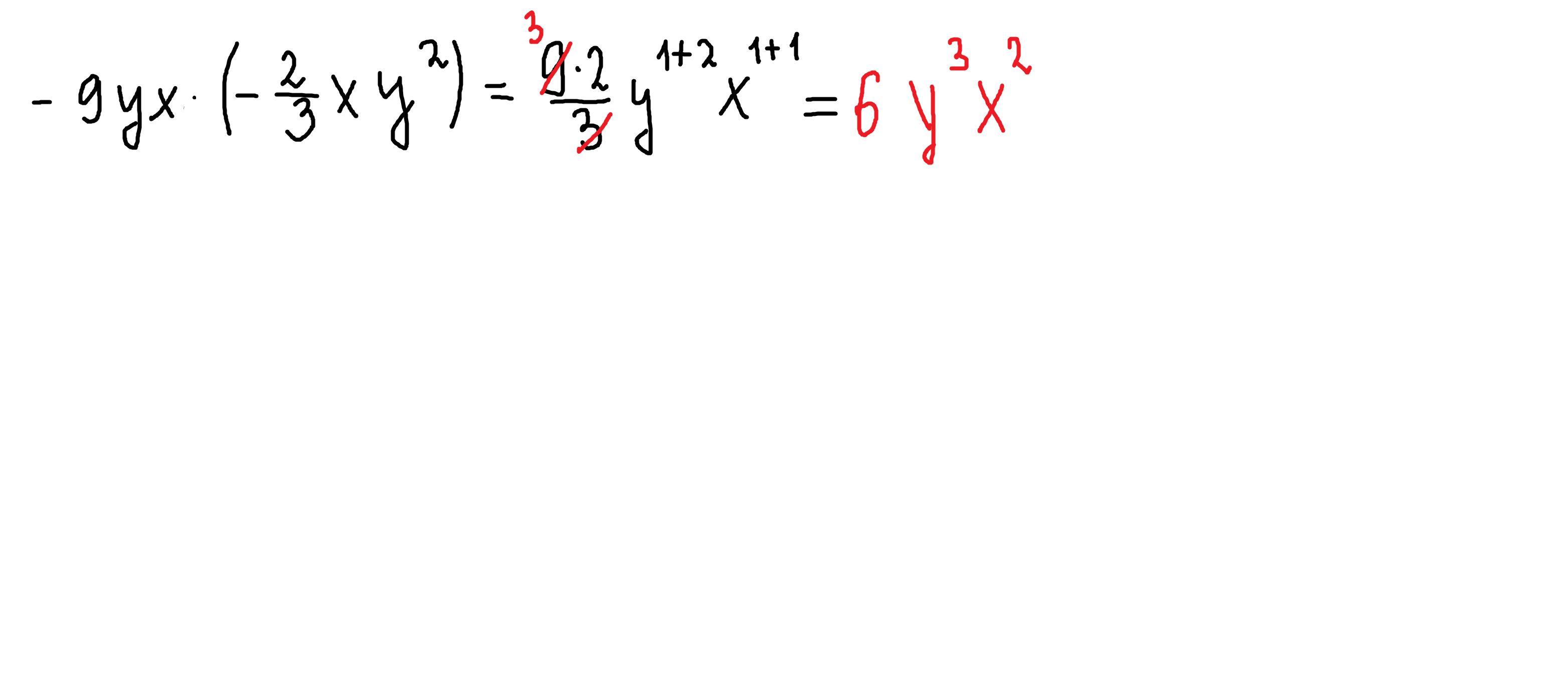
-9y×(-⅔xy²) пж пж пж​

Ответы

Ответ дал: parus77
0

Ответ:

Объяснение:

решение внизу

Приложения:
Вас заинтересует