• Предмет: Алгебра
  • Автор: soul3001
  • Вопрос задан 10 лет назад

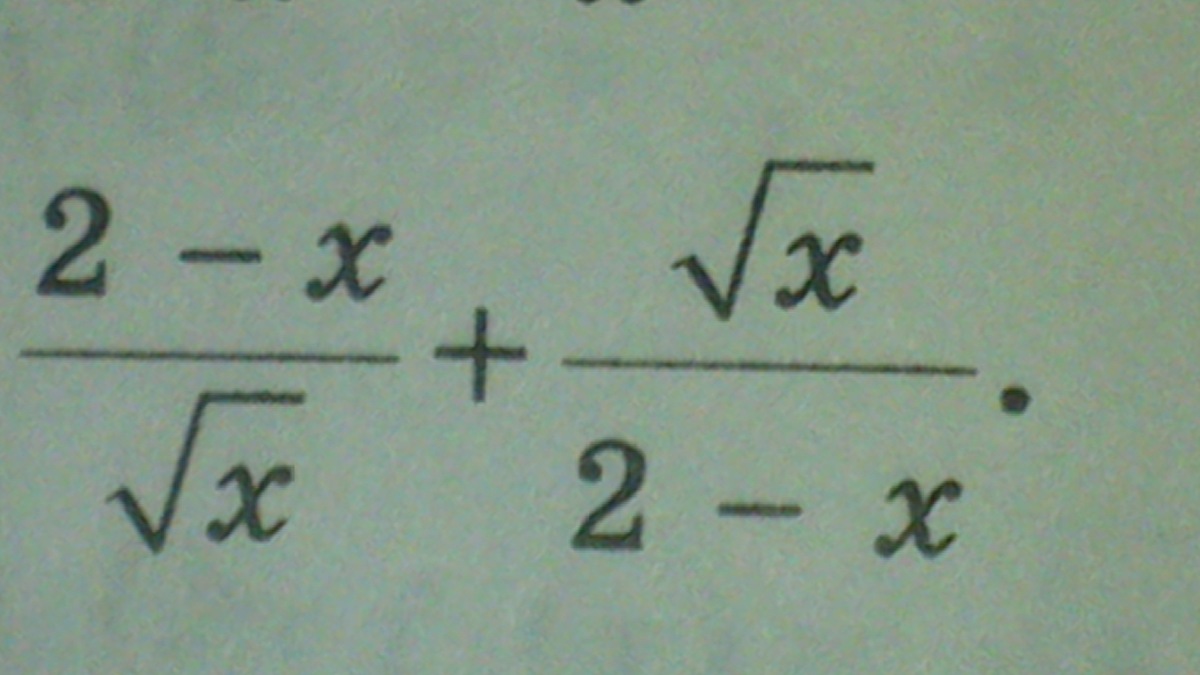
Найти производную функций

Приложения:

Ответы

Ответ дал: NNNLLL54
0
y'=frac{-sqrt{x}-(2-x)frac{1}{2sqrt{x}}}{x}+frac{frac{1}{2sqrt{x}}(2-x)+sqrt{x}}{(2-x)^2}
Вас заинтересует