• Предмет: Алгебра
  • Автор: ludok2706
  • Вопрос задан 8 лет назад

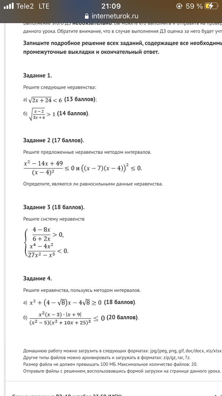
Помогите пожалуйстаааааа

Приложения:

Ответы

Ответ дал: bk1409
0
Ответ на задание номер 1
Приложения:
Вас заинтересует