• Предмет: Математика
  • Автор: kristinatarasova522
  • Вопрос задан 8 лет назад

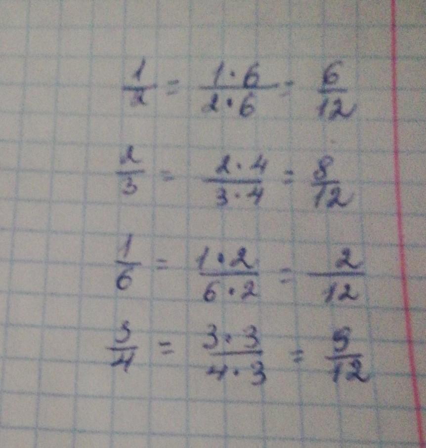
384.Дроби 1/2,2/3,1/6,3/4 замените равными им дробями со знаменателем 12.

Ответы

Ответ дал: DilnuraAbdusamiyeva
4

1 )6/12 2)8/12 3)2/12 4)9/12.


Аноним: ну ты и лох
Ответ дал: larisaserova53
9

Ответ:

Смотри решение на фото ниже

Приложения:

ip1548448: СПС
Вас заинтересует