• Предмет: Математика
  • Автор: karimovaajgul883
  • Вопрос задан 8 лет назад

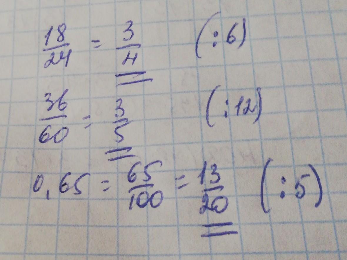
Сократите дробь(десятичную дробь представте виде обыкновенной а)18/24; б)36/60; в)0,65
Умоляю помогите прошу​


pashkovan47: а какая дробь?

Ответы

Ответ дал: larisaserova53
0

Ответ:3/4; 3/5; 13/20

Смотри решение на фото ниже

Приложения:

larisaserova53: То, что в скобках не пишите, это я разделила Числитель и знаменатель на это число, чтобы вам было понятно, откуда что взялось
Вас заинтересует