• Предмет: Математика
  • Автор: pmiheeva76
  • Вопрос задан 8 лет назад

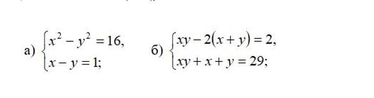
помогите,пожалуйста,решить

Приложения:

Ответы

Ответ дал: muhortovavenera
0

Ответ:

скачай это приложение и решай Photomath

Пошаговое объяснение:

Вас заинтересует