Ребят, помогите, пожалуйста, решить уравнение, нужно очень СРОООООЧНО
Приложения:

Vale1109riyab:
х+8=4*9:3=12 х=12-8=4
Ответы
Ответ дал:
1
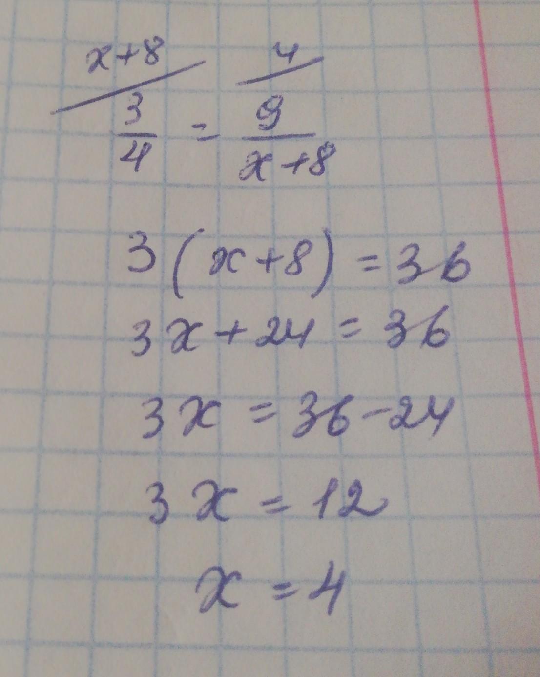
Ответ:
Смотри решение на фото ниже
Приложения:

Ответ дал:
1
Ответ:
х=4
Пошаговое объяснение:
решаем уравнение,применяя основное св-во пропорции
Приложения:

Вас заинтересует
2 года назад
2 года назад
3 года назад
3 года назад
8 лет назад
8 лет назад
9 лет назад