• Предмет: Геометрия
  • Автор: yacccchan
  • Вопрос задан 8 лет назад

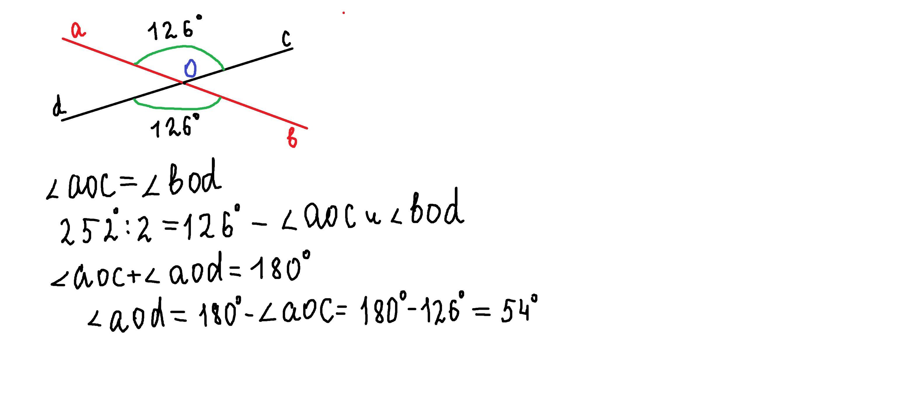
сумма вертикальных углов aoc и bod, образованных при пересечении прямых ab и cd = 252°. найдите угол aod​

Ответы

Ответ дал: parus77
1

Ответ:

∠aod=54°

Объяснение:

Приложения:

yacccchan: большое спасибо
parus77: пожалуйста
Вас заинтересует