• Предмет: Алгебра
  • Автор: yuma79
  • Вопрос задан 8 лет назад

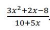
Прошу помочь с заданием: сократите дробь

Приложения:

Ответы

Ответ дал: Аноним
1

Объяснение:

 \frac{3x {}^{2}  + 2x - 8}{10 + 5x}  =  \frac{3x {}^{2}  + 6x - 4x - 8}{5x + 10} =  \frac{3x \times (x  + 2) - 4(x + 2)}{5(x + 2)}   =  \frac{(x + 2) \times (3x - 4)}{5(x + 2)} =  \frac{3x - 4}{5}

Ответ дал: 5hilya
1

Решение на фотографии.

Приложения:
Вас заинтересует