• Предмет: Математика
  • Автор: olesyaolesya241108
  • Вопрос задан 8 лет назад

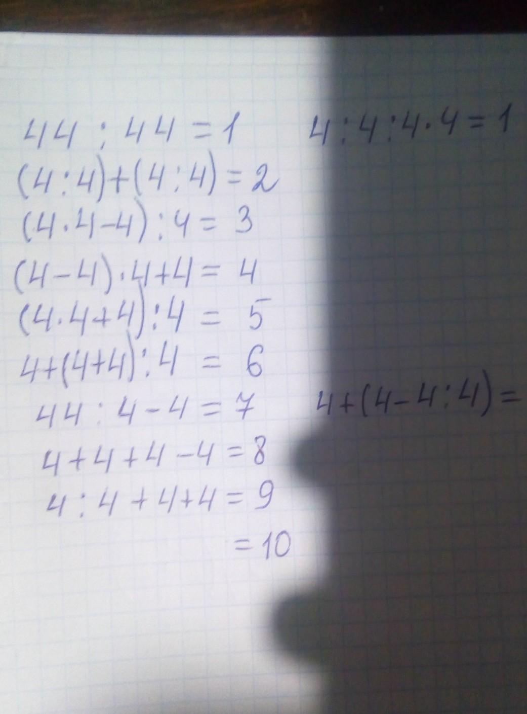
4 4 4 4=1
4 4 4 4=2
4 4 4 4=3
4 4 4 4=4
4 4 4 4=5
4 4 4 4=6
4 4 4 4=7
4 4 4 4=8
4 4 4 4=9
4 4 4 4=10
Знаки любые можно ставить, минусы плюсы скобки и тд.
решите пожалуйста​

Ответы

Ответ дал: Elena3982
2

Пошаговое объяснение.

(44-4)÷4=10

Приложения:
Ответ дал: arde24
0

Ответ:

все что смогла:

4×4:4:4=1

4:4+4:4=2

4:4×4+4=8

4+4+4:4=9

Вас заинтересует