• Предмет: Алгебра
  • Автор: Аноним
  • Вопрос задан 7 лет назад

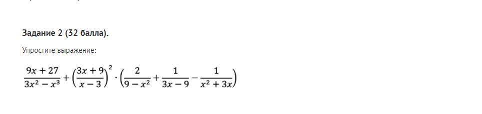
ПОЖАЛУЙСТА ПОМОГИТЕ! ЭТО ОЧЕНЬ СРОЧНО!!! Даю 80 баллов!

Приложения:

Ответы

Ответ дал: jalilovis
0

Объяснение:

ововоыоыыоыогвововоырырыыннвнв

Приложения:
Вас заинтересует