• Предмет: Алгебра
  • Автор: simald8484
  • Вопрос задан 7 лет назад

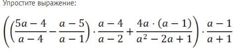
Упростите выражение:

Приложения:

Ответы

Ответ дал: Applegate
4

☆☆☆☆☆☆☆☆☆☆☆☆☆☆☆☆☆☆☆☆☆☆

Приложения:
Вас заинтересует