• Предмет: Алгебра
  • Автор: provorovdk
  • Вопрос задан 8 лет назад

помогите пожалуйста,с решением​

Приложения:

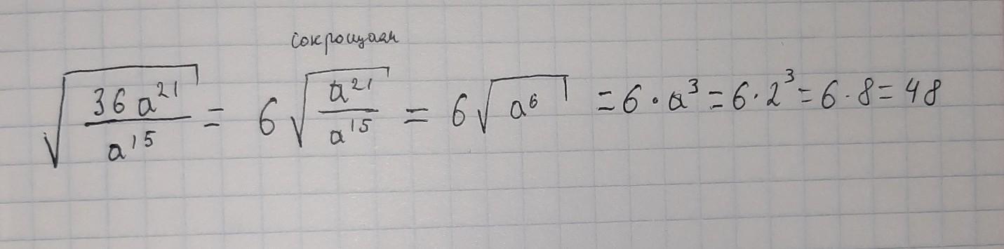
Ответы

Ответ дал: Akakakl
1

Ответ:

48

___________________

Приложения:

provorovdk: спасибо
Ответ дал: Grjhdqwerty
1

Відповідь:

Пояснення:

Приложения:

provorovdk: спасибо
Вас заинтересует