• Предмет: Алгебра
  • Автор: unbum5902
  • Вопрос задан 8 лет назад

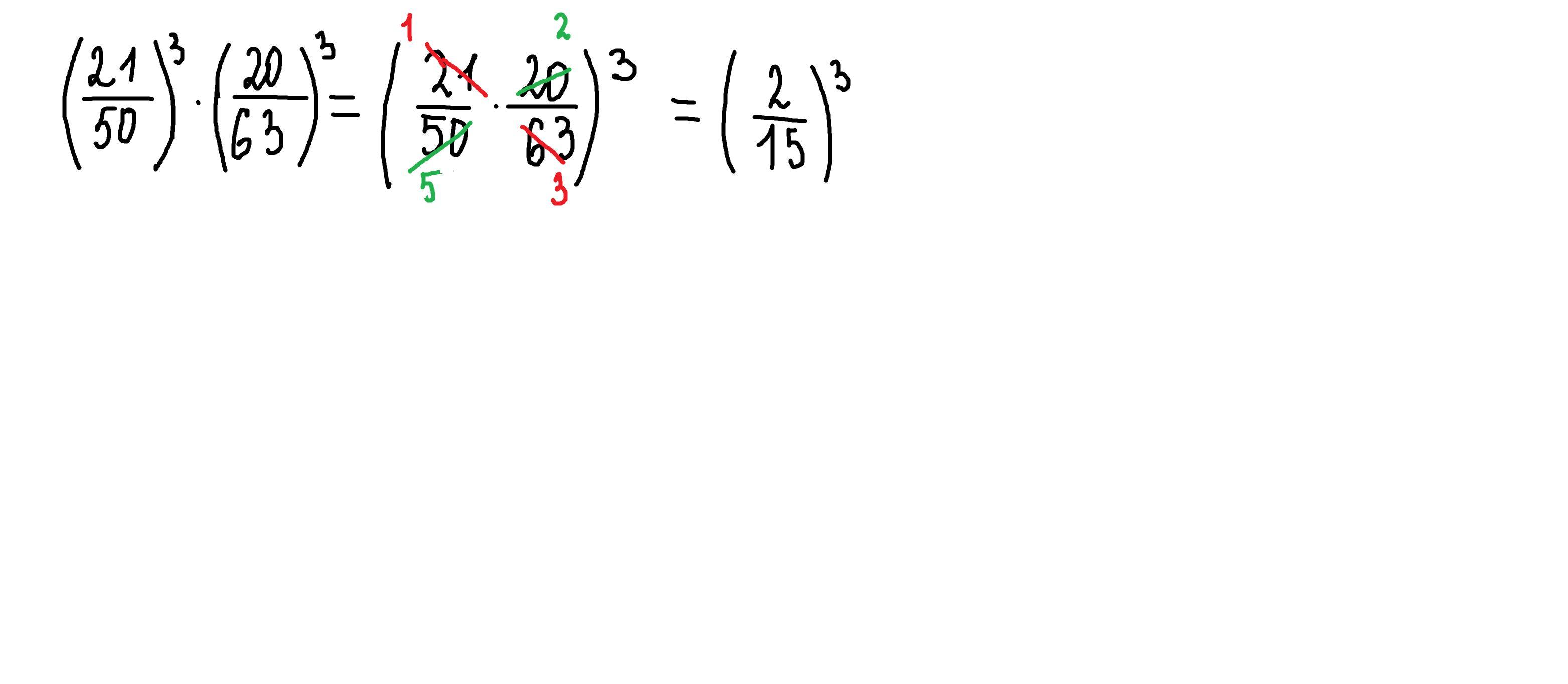
представьте выражение(21/50)³•(20/63)³ в виде степени несократимой дроби
(варианты на фотке)​

Приложения:

Ответы

Ответ дал: Akakakl
1

Ответ:

(2/15)^3

_______

_______

Приложения:

unbum5902: спасибо большое)))
Akakakl: рад помочь, если не сложно отметьте как лучший ответ :3
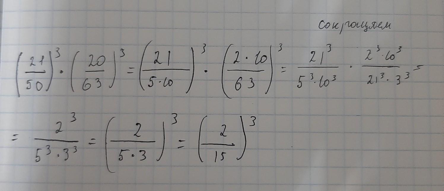
Ответ дал: parus77
2

Ответ:

(2\15)³

Объяснение:

решение внизу

Приложения:
Вас заинтересует