Свойство логарифмов .Я знаю ,что 3 задание есть на этом сайте.Но оно неправильное суди по оценкам.За выполнения дам 35 балов
Приложения:


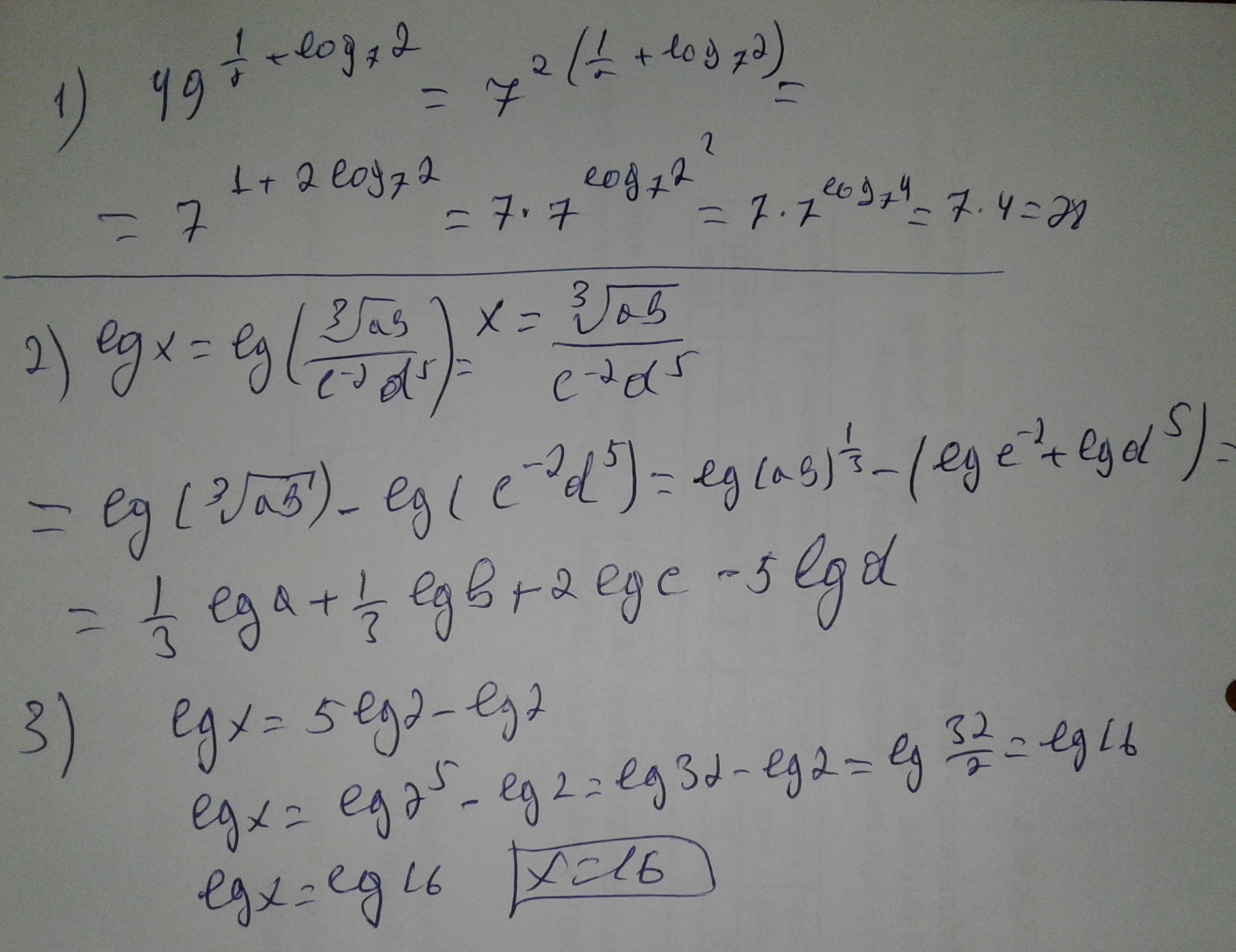
Ответы
Ответ дал:
1
Ответ:
Resheno
Объяснение:
Приложения:

Вас заинтересует
2 года назад
2 года назад
3 года назад
3 года назад
8 лет назад
8 лет назад
49 + ㏒₇2
49 * 49㏒₇2
7² * ( 7² ) ㏒₇ 2
7 * 7 ²㏒₇ 2
7 * 7 ㏒₇ 2²
7 * 2²
7 * 4
28
второе прости, не смог решить
3.
log₁₀ x = 5log₁₀ 2 - log₁₀ 2
log₁₀ x = 5log₁₀ 2 - log₁₀ 2 , x > 0
log₁₀ x = 4log₁₀ 2
log₁₀ x = log₁₀ 2⁴
x = 2⁴
x = 16 , x > 0
x = 16