Ответы
Ответ дал:
1
Ответ:
Пошаговое объяснение:
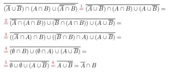
Смотри рисунок.
1.
2. Используем дистрибутивный закон:
3. Используем ассоциативный закон:
4.
5.
6.
.....
Приложения:

Вас заинтересует
2 года назад
2 года назад
3 года назад
3 года назад
8 лет назад
8 лет назад
9 лет назад