• Предмет: Математика
  • Автор: Аноним
  • Вопрос задан 8 лет назад

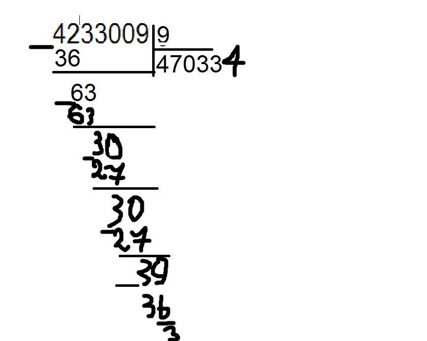
4233009: 9 помогите пожалуйста ​

Ответы

Ответ дал: fedkarfedamackov7
2

Ответ:

Наверно, вы поймёте мой почерк

Пошаговое объяснение:

Приложения:

fedkarfedamackov7: делал в пайнте
zaharkuspanov: Молодец
Ответ дал: pavelsubocev78
1

Ответ:

Пошаговое объяснение: я точно не уверена должно быть правильно

Приложения:
Вас заинтересует