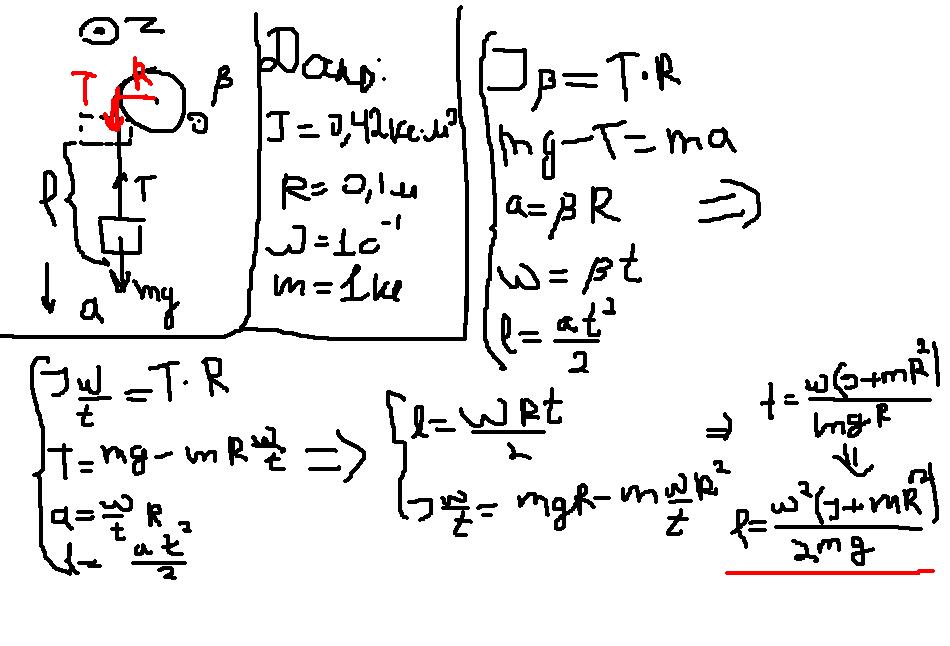
1.
По ободу шкива,
насаженного на общую ось с колесом, намотана нить, к концу которой подвешен
груз массой 1 кг.
На какое расстояние должен опуститься груз, чтобы колесо со шкивом получило
скорость 60 рад/мин, если момент инерции колеса со шкивом 0,42 кг·м2,
а радиус шкива 0,1 м?
Ответы
Ответ дал:
0
Извини, я числа не подставил, оставил это тебе.
Приложения:

Вас заинтересует
2 года назад
2 года назад
8 лет назад
8 лет назад
10 лет назад