• Предмет: Алгебра
  • Автор: nefexnumb777
  • Вопрос задан 8 лет назад

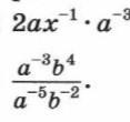
Упростите выражение полное решение напишите на листке ​ выполните только где 2 пример снизу

Приложения:

Ответы

Ответ дал: sailcar100
1

Ответ:

Объяснение:

\frac{a^{-3}b^{4}  }{a^{-5}b^{-2}  }=a^{-3+5}b^{4+2}=a^{2}b^{6}

Вас заинтересует